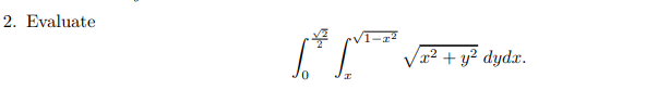
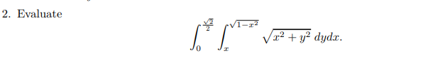
Question: Please no cursive! This is a Calculus 3 question. 2. Evaluate

Please no cursive! This is a Calculus 3 question.

2. Evaluate
Step by Step Solution
There are 3 Steps involved in it
Get step-by-step solutions from verified subject matter experts
