Question: Please note, Keyboard Sensitive system. Include a clear detailed solution with the formulas used in each step. make sure that your answer is accurate in
Please note, Keyboard Sensitive system.
Include a clear detailed solution with the formulas used in each step.
make sure that your answer is accurate in a standard form and in scientific notation as well.
1 Question with images to provide more info to the tutor.



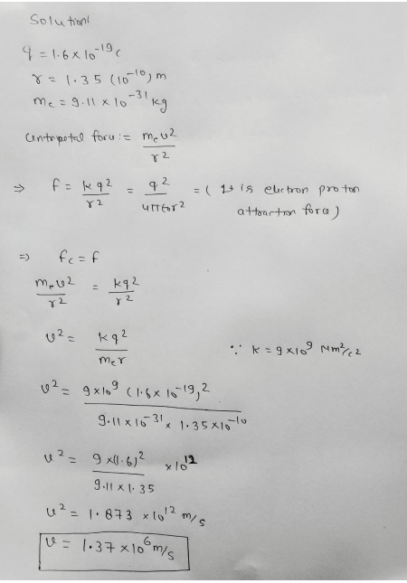
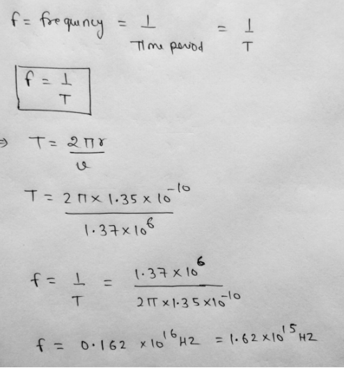
Four electrons are orbiting a stationary proton along a perfect circle with a constant speed 1: as shown below. Find the orbital speed and frequency of this circular motion if the radius of the orbit is 1.35 - 1i} mm. The elementary charge q = 1J5 - 1i} \"(I and the electron mass mE = Q_11 . 1:3131:39 v q The orbital speed, it e Units - . The frequency of orbital motion, f = Units - . Question Help: E Message instructor D Post to forum Submit JQuestion Solution! 4= 1.6 * 15-19 c * = 1. 35 (10 ) m me = 9.11 x 10 - 31 Contripoted foru : = mou2 F = kq2 = = ( #+ is electron proton attoarton fora ) fe = F = kq2 Uz = kql 10 2 = 9x10 ( 1.6 * 15-19, 2 9. 11 x 16 3 x 1.35 x 16( " U 2 9 * (1 . 6 1 2 9.11 x 1. 35 U 2 = 1. 873 x 10 m/s V = 1. 37 * 10 m/sf = frequency = 1 Time period f = ] T = 2 18 T = 2 1 x 1. 35 x 10 - 10 1. 37 x 106 = 1.37 x 10 6 f = _ T 2 IT X 1 - 3 5 x15/0 15 f = 0.162 x 10 H2 = 1. 62 x10 HZ
Step by Step Solution
There are 3 Steps involved in it
Get step-by-step solutions from verified subject matter experts
