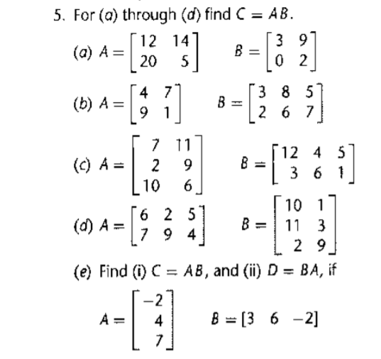
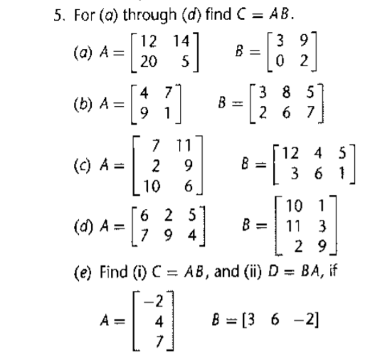
Question: Please only hep with (a) and (e) 5. For (a) through (d) find C 12 14 20 5 711 6 5 4 9 5 3

Please only hep with (a) and (e)

5. For (a) through (d) find C 12 14 20 5 711 6 5 4 9 5 3 2 3 8 6 12 45 361 10 1 11 3 (e) Find (i) C AB, and (ii) D = BA if -2]
Step by Step Solution
There are 3 Steps involved in it
Get step-by-step solutions from verified subject matter experts
