Question: PLEASE PLEASE NEED HELP WITH CALCULUS HOMEWORK QUESTIONS. I NEED THE CALCULATIONS TOO I NEED IT VERY URGENTLY PLEASE I WILL FOR SURE GIVE YOU




PLEASE PLEASE NEED HELP WITH
CALCULUS HOMEWORK QUESTIONS.
I NEED THE CALCULATIONS TOO
I NEED IT VERY URGENTLY PLEASE
I WILL FOR SURE GIVE YOU A VERY GOOD FEEDBACK AND I PROMISE




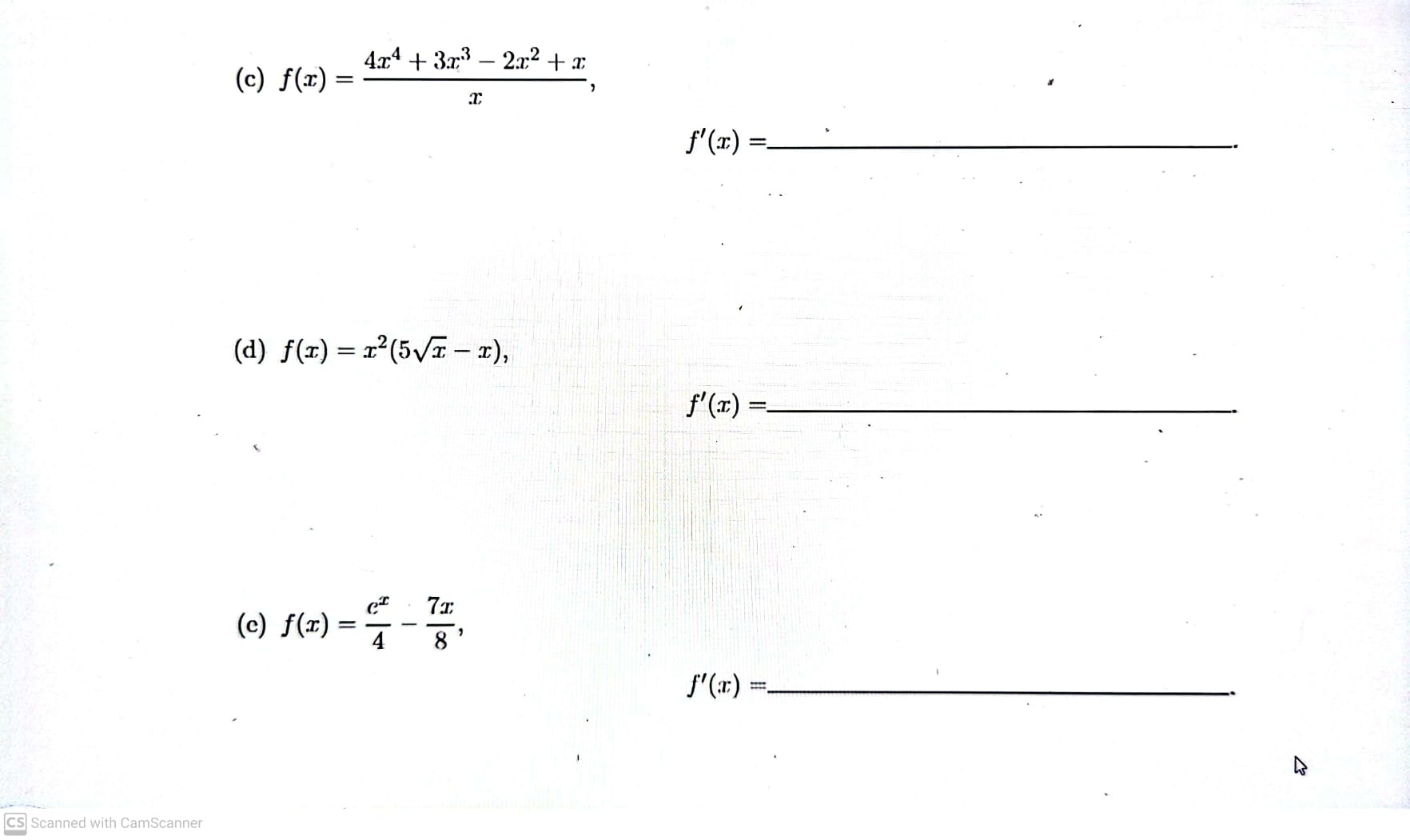
(c) f(z) = - f' (I.) =_ (d) f(1) = 12(5VI - I), f'(x) =_ ( c) f ( I. ) = - 8 f' (a) =_ CS Scanned with CamScanner1. For each of the following compute the rst and the second derivatives of the given functions. (a) at) = 43:4 7.177 8.1: + 3 ' f'(rr) = f"(a=) = f"(2) = d:.l:'2 .r I 3. For each of the function, compute the derivative. (a) f(z) = 21ne - 3c" + r, f'(I) =_ (b) f(I) = 3 I' f'(I) =_ (c) f(1) = _ 414 + 313 - 212 + : f'(x) =_ CS Scanned with CamScanner(c) y = 8VI 7 =- 7 = y" (0) =_ 2. For g(I) =- A/H -3, 9" (32) =_ CS Scanned with CamScanner
Step by Step Solution
There are 3 Steps involved in it
Get step-by-step solutions from verified subject matter experts
