Question: Please provide a solution to the below question. Question 1: Catalyst for change [12 Marks] Two catalysts are being analyzed to determine how they affect

![for change [12 Marks] Two catalysts are being analyzed to determine how](https://s3.amazonaws.com/si.experts.images/answers/2024/06/66748b9a8489d_94666748b9a5f67f.jpg)
Please provide a solution to the below question.


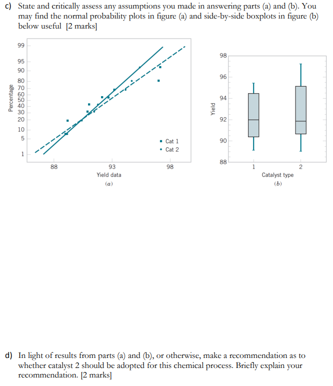
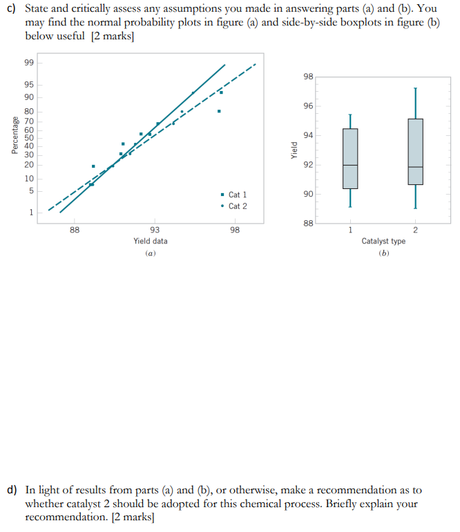
Question 1: Catalyst for change [12 Marks] Two catalysts are being analyzed to determine how they affect the mean yield of a chemical process. Specifically, catalyst 1 is currently used, but catalyst 2 is a new and cheaper alternative that could be adopted if it does not change the mean process yield. A test is run in the pilot plant and results from two indepednent samples are summarised in the table below. Sample yields from a chemical process mean sd Catalyst 1 92.50 95.18 93.18 96.39 92.79 90.07 95.72 90.21 93.26 2.39 Catalyst 2 89.19 90.95 90.46 93.21 97.19 97.04 91.07 92.75 92.73 2.98 a) Do these data provide evidence of a difference in mean yields between the two catalysts? Answer this question by carrying out an appropriate hypopthesis test, clearly stating the null and alternative hypotheses, calculating and interpreting a P-value, and making a conclusion. [4 marks] b) Do the two catalysts lead to the different precisions in the yield of the chemical process? Answer this question by carrying out an appropriate hypopthesis test, clearly stating the null and alternative hypotheses, calculating and interpreting a P-value, and making a conclusion. [4 marks]c) State and critically assess any assumptions you made in answering parts (a) and (b). You may find the normal probability plots in figure (a) and side-by-side boxplots in figure (b) below useful [2 marks] 99 98 95 90 96 80 70 Percentage 94 7 6 8 8 6887 92 Cat 1 90 . Cat 2 88 88 93 98 1 2 Yield data Catalyst type (a) (b) d) In light of results from parts (a) and (b), or otherwise, make a recommendation as to whether catalyst 2 should be adopted for this chemical process. Briefly explain your recommendation. [2 marks]
Step by Step Solution
There are 3 Steps involved in it
Get step-by-step solutions from verified subject matter experts
