Question: Please see attachment. INSTRUCTIONS: Show complete , readable , and understandable solution. BOX the final answer. A. Use Implicit Differentiation to solve for dy/dx. 1.
Please see attachment.
INSTRUCTIONS: Show complete, readable, and understandable solution. BOX the final answer.

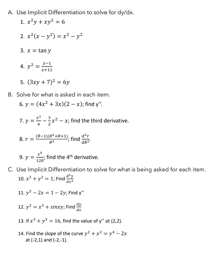
A. Use Implicit Differentiation to solve for dy/dx. 1. x y + xy2 = 6 2. x2 ( x - y2) = x2 - yz 3. x = tan y 4. y2 = - X-1 x+11 5. (3xy + 7)2 = 6y B. Solve for what is asked in each item. 6. y = (4x2 + 3x) (2 - x); find y". 7. y = - - 2 2 x2 - x; find the third derivative. 8. r = (0-1)(02+0+1) ; find dar 93 do2. x5 9. y = ; find the 4th derivative. C. Use Implicit Differentiation to solve for what is being asked for each item. 10. x2 + y2 = 1; Find d- x 11. y2 - 2x = 1 - 2y; Find y" 12. y? = x2 + sinxy; Find 13. If x3 + y3 = 16, find the value of y" at (2,2). 14. Find the slope of the curve y2 + x2 = y4 - 2x at (-2,1) and (-2,-1)
Step by Step Solution
There are 3 Steps involved in it
Get step-by-step solutions from verified subject matter experts
