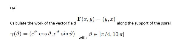
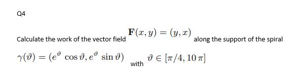
Question: please send handwritten solution Q4 F(x, y) = (y, x) Calculate the work of the vector field along the support of the spiral 7(v) =

please send handwritten solution

Q4 F(x, y) = (y, x) Calculate the work of the vector field along the support of the spiral 7(v) = (e" cost, e sind) DE [TT/4, 10 #] with
Step by Step Solution
There are 3 Steps involved in it
Get step-by-step solutions from verified subject matter experts
