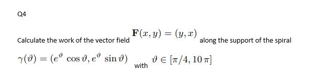
Question: please send handwritten solution Q4 F(x, y) = (y, x) Calculate the work of the vector field along the support of the spiral 7(v) =

 please send handwritten solution Q4 F(x, y) = (y, x) Calculate

please send handwritten solution

the work of the vector field along the support of the spiral

Q4 F(x, y) = (y, x) Calculate the work of the vector field along the support of the spiral 7(v) = (e" cost, e sind) DE [TT/4, 10 #] with

Step by Step Solution

There are 3 Steps involved in it

1 Expert Approved Answer
Step: 1 Unlock blur-text-image
Question Has Been Solved by an Expert!

Get step-by-step solutions from verified subject matter experts

Step: 2 Unlock
Step: 3 Unlock

Students Have Also Explored These Related Mathematics Questions!