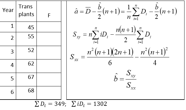
Question: Please show all formulas used and calculations performed a) Use the Linear Trend (LT) to forecast the transplants (linear regression) from year 1 through 3
Please show all formulas used and calculations performed

a) Use the Linear Trend (LT) to forecast the transplants (linear regression) from year 1 through 3
b) Use Holts double exponential smoothing with smoothing confidents =.2 and =.2 to forecast one period ahead for year 1-3. Use regression analysis to determine the initial values of S0and G0. 
Year Trans plants F. 1 45 n =D-(n+1)==I ID, -3(n+1) n(n+1) Syy = niD, D, 2 n? (n+1)(2n+1) n (n+1)? 2 55 i=1 i=1 3 3 52 S. = 62 6 4 4 5 67 @ . Sq S. 6 68 Di = 349; XiD; = 1302 Fitr = S, +TG, where S = a D. + (1 - a) Sa+G-) G = B(S. -S:-1)+ (1 - BG-1
Step by Step Solution
There are 3 Steps involved in it
1 Expert Approved Answer
Step: 1 Unlock
Question Has Been Solved by an Expert!
Get step-by-step solutions from verified subject matter experts
Step: 2 Unlock
Step: 3 Unlock
