Question: Please show all the steps as well. (No excel please) Thanks! - Max. 2x, 4x2 + 5xz s.t. x, +4x2 2xz = 2 - xy


Please show all the steps as well. (No excel please) Thanks!
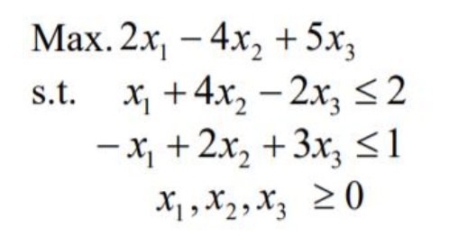
- Max. 2x, 4x2 + 5xz s.t. x, +4x2 2xz = 2 - xy + 2x2 + 3xz 51 X7, X2, X3 20 Let xz and X4 be the basic variables, where x4 is the slack variable of the first constraint. (1) Express the problem as an LP standard form. (10pts) (2) Complete the corresponding simplex tableau via matrix computation Is the solution optimal? Why? If not, find the corrected optimal solution using the simplex method in tableau formStep by Step Solution
There are 3 Steps involved in it
1 Expert Approved Answer
Step: 1 Unlock
Question Has Been Solved by an Expert!
Get step-by-step solutions from verified subject matter experts
Step: 2 Unlock
Step: 3 Unlock
