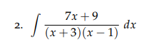
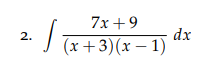
Question: Please show all work, step by step. Thank you so much! Directions: Decompose the integrand and then evaluate the integral. 7x+9 2. dx x+3)(x-1

Please show all work, step by step. Thank you so much!
Directions: Decompose the integrand and then evaluate the integral.

7x+9 2. dx x+3)(x-1
Step by Step Solution
There are 3 Steps involved in it
Get step-by-step solutions from verified subject matter experts
