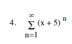
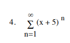
Question: Please show all work, step by step. Thank you so much! I will give an excellent rating if all work is correct! 4.) In problem

Please show all work, step by step. Thank you so much! I will give an excellent rating if all work is correct!
4.) In problem 4, (a) find all values of x for which each given power series converges, and (b) graph the interval of convergence for the series on a number line

Step by Step Solution
There are 3 Steps involved in it
Get step-by-step solutions from verified subject matter experts
