Question: Please show all work, step by step, written and explained as neatly as possible. Thank you so much!! Let {xn'} and {yn} be bounded sequences
Please show all work, step by step, written and explained as neatly as possible. Thank you so much!!



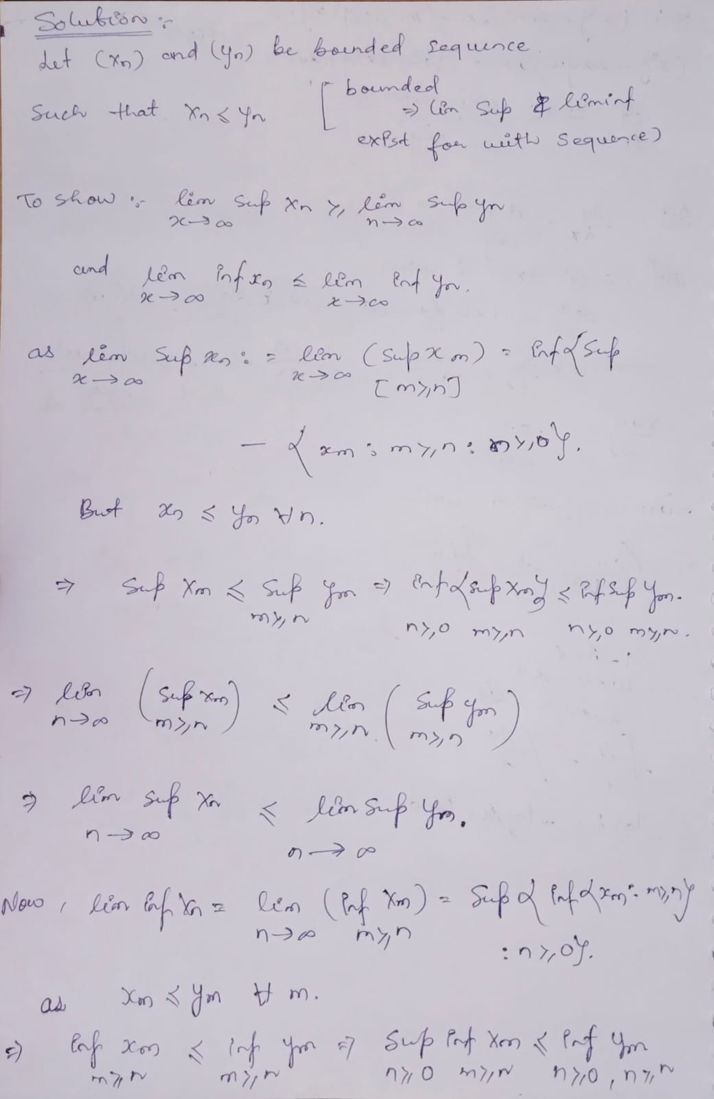
Let {xn'} and {yn} be bounded sequences such that In 0oSolution. Let ( xn) and ( yn) be bounded sequence bounded such that Xnsyn - lim Sup & lemint exist four with Sequence) To show . lim sup In y, lem sup you and lean intro, a lem ent you. De - 00 as lem sup Reg. = lean ( Supp x ( on) = info sup x -> 00 20 -> 00 am s my, n : Dy,op. But In s you Vn. Sup Xm , 0 myin nyo myr. Sup xon) Sup you myn myin off lim sup Xox
Step by Step Solution
There are 3 Steps involved in it
Get step-by-step solutions from verified subject matter experts
