Question: Please show all work, step by step, written and explained as neatly as possible. Thank you so much!! Directions Let f : (cub) > R




Please show all work, step by step, written and explained as neatly as possible. Thank you so much!!
Directions


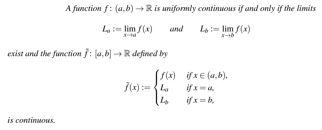
![x-b exist and the function f: [a, b] -> R defined by](https://s3.amazonaws.com/si.experts.images/answers/2024/06/666700de8cb84_462666700de56ef3.jpg)

Let f : (cub) > R be u uniformly continuous function. Finish the proofof Theorem 3.4.6 by showing that the limit ling f (x) exists. X4} A function f: (a, b) - R is uniformly continuous if and only if the limits La : = lim f(x) and Lb := lim f (x) x-b exist and the function f: [a, b] -> R defined by f(x) ifxE (a, b), f ( x ) : = La if x = a, Lb if x =b, is continuous.consider ME= max ( nianz). 2 ) # Each DO . By A Ibn- b/LS on>m & ( yn- b/ m. 2 1 bn - In/ WIN A By @ @ & . het + ( ) = 1 , + +(6 ) : 12. = lim + ( in) 141 - 121 = 1 4 - f ( bon ) + + (on ) - +(yn)+ +(8. )-821 XMy By - ( wel have. I f ( b n ) - 7 ( y . ) ) L E - D By 89 DEL & Ell ass so arbitrary . f ( b ) = list ( n ) exist ) Inconsider ME= max ( nianz). 2 ) # Each DO . By A Ibn- b/LS on>m & ( yn- b/ m. 2 1 bn - In/ WIN A By @ @ & . het + ( ) = 1 , + +(6 ) : 12. = lim + ( in) 141 - 121 = 1 4 - f ( bon ) + + (on ) - +(yn)+ +(8. )-821 XMy By - ( wel have. I f ( b n ) - 7 ( y . ) ) L E - D By 89 DEL & Ell ass so arbitrary . f ( b ) = list ( n ) exist ) InGiveen: F: (0, 6) - P. uniformly continous function. claim ! lin t(n) exist. Poop ! Let Soy? lee a sequence in ( 9, b ) Such that lim bn = b. ") we know that every convergent sequence en IP is cauchy s converse also hold. Sbrigis is cauchy. -) + ( bu] is cauchy : uniform image By of cauchy sequence = ) + (by) is comeurgent in IP. het l, = lim f (bn). under cont unity Let In be in ( 9. 5) s.t In is another sequence than on & lim in= b. similarly as above Explained. we have. dim f ( yn) = 12. claim 2, = 12. By clefination of unif only contunity + Each 270. 7 a $70. S. t. + myE ( 9, b ) s t / m- y /
Step by Step Solution
There are 3 Steps involved in it
Get step-by-step solutions from verified subject matter experts
