Question: PLEASE SHOW EVERY STEP. THANK YOU options: vertical : horizontal : Scatter part d options: WORSE or BETTER : SMALLER MSE or LARGER MSE part
PLEASE SHOW EVERY STEP. THANK YOU

options: vertical
: horizontal
: Scatter

part d options: WORSE or BETTER
: SMALLER MSE or LARGER MSE
part e options: WORSE or BETTER
: SMALLER MSE or LARGER MSE
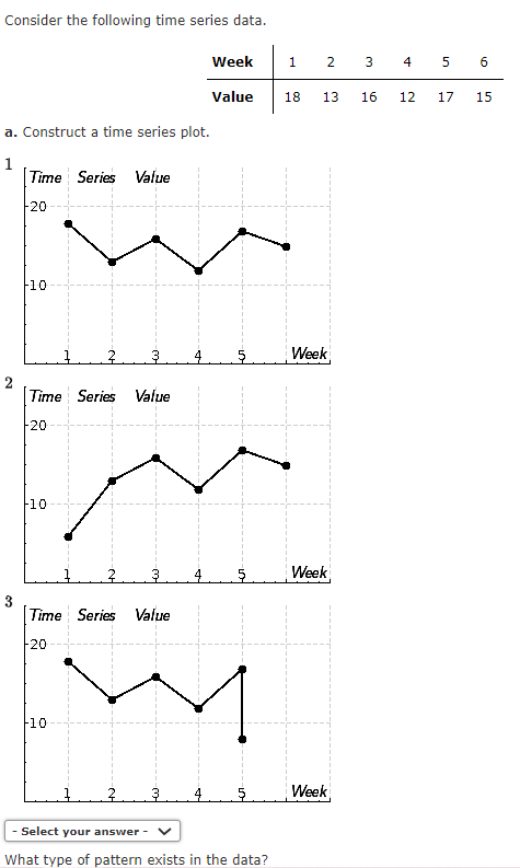
Consider the following time series data. Week 1 2 3 4 5 6 Value 18 13 16 12 17 15 a. Construct a time series plot. 1 Time Series Value 20 10 2 3 5 Week 2 Time Series Value 20 10 2 3 4 Week 3 Time Series Value -20 M -10 1 2 3 4 5 Week - Select your answer What type of pattern exists in the data? - Select your answer - What type of pattern exists in the data? - Select your answer - b. Develop the three-week moving average forecasts for this time series. Compute MSE and a forecast for week 7 (to 2 decimals if necessary). MSE 5 The forecast for week 7 c. Use a = 0.2 to compute the exponential smoothing forecasts for the time series. Compute MSE and a forecast for week 7 (to 2 decimals). MSE The forecast for week 7 d. Compare the three-week moving average approach with the exponential smoothing approach using a=0.2 Which appears to provide more accurate forecasts based on MSE? Explain. The three-week moving average provides a - Select your answer - forecast than the exponential smoothing approach since it has a - Select your answer - MSE e. Use a smoothing constant of a=0.4 to compute the exponential smoothing forecasts. Compute MSE (to 2 decimals). Does a smoothing constant of 0.2 or 0.4 appear to provide more accurate forecasts based on MSE? Explain. The exponential smoothing forecast using a = 0.4 provides a - Select your answer - the exponential smoothing forecast using a = 0.2 since it has a - Select your answer - forecast than MSEStep by Step Solution
There are 3 Steps involved in it
Get step-by-step solutions from verified subject matter experts
