Question: Please show formulas input in excel and the solver parameters (i.e objective, changing variable cells, and constraints). Please provide a detailed step-by-step description of your
Please show formulas input in excel and the solver parameters (i.e objective, changing variable cells, and constraints). Please provide a detailed step-by-step description of your proposed solution. Thank you!
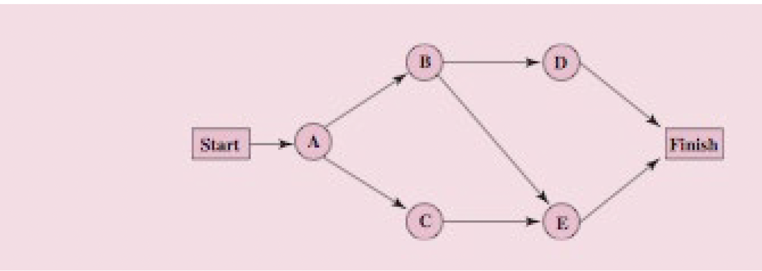
Good Homes Construction Company is about to begin the construction of a large new home. The company's president, Michael Dean, is currently planning the schedule for this project. Michael has identified the five major activities (labeled A, B, . . ., E) that will need to be performed according to the following project network.

Finish Start C E
Step by Step Solution
There are 3 Steps involved in it
Get step-by-step solutions from verified subject matter experts
