Question: Please show formulas input in excel and the solver parameters (i.e objective, changing variable cells, and constraints). Please provide a detailed step-by-step description of your
Please show formulas input in excel and the solver parameters (i.e objective, changing variable cells, and constraints). Please provide a detailed step-by-step description of your proposed solution. Thank you!
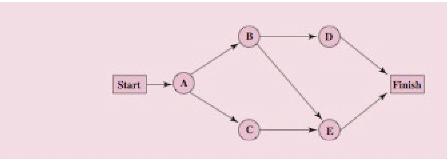
Good Homes Construction Company is about to begin the construction of a large new home. The company's president, Michael Dean, is currently planning the schedule for this project. Michael has identified the five major activities (labeled A, B, . . ., E) that will need to be performed according to the following project network.


Finish Start C E.Normal Time Crash Time Normal Crash Activity (Weeks) (Weeks) Cost Cost $54,000 $60,000 62,000 65,000 NONIN 66,000 70,000 40,000 43,000 75,000 80,000
Step by Step Solution
There are 3 Steps involved in it
Get step-by-step solutions from verified subject matter experts
