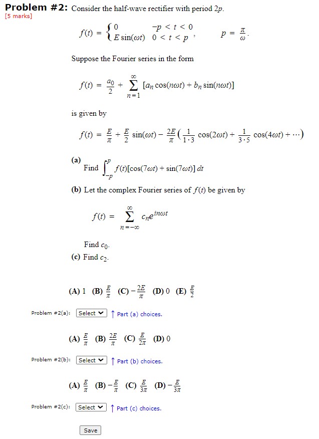
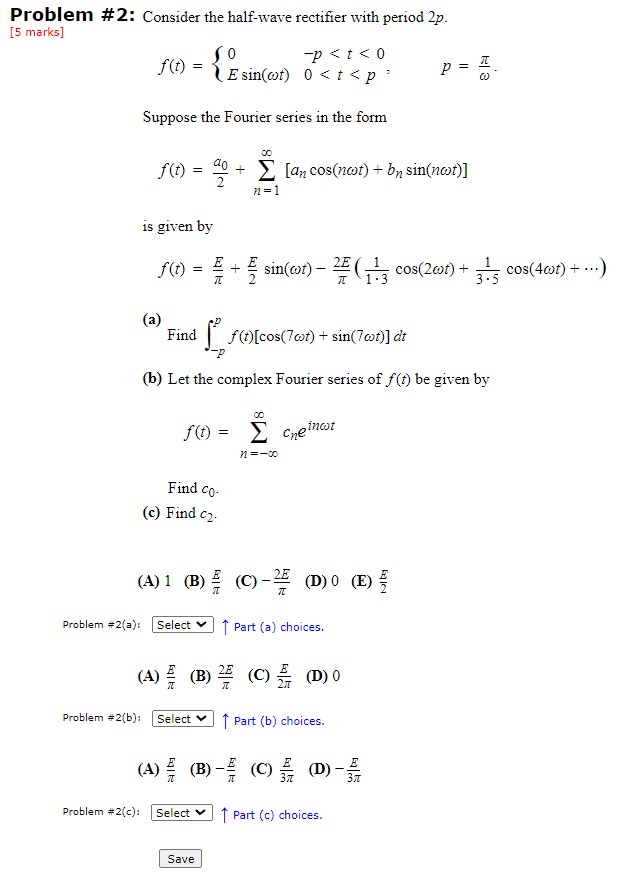
Question: Please show steps on how to solve this question Problem #2: Consider the half-wave rectifier with period 2p. [5 marks] pet [an cos(not) + bn

Please show steps on how to solve this question
![Consider the half-wave rectifier with period 2p. [5 marks] pet [an cos(not)](https://s3.amazonaws.com/si.experts.images/answers/2024/06/66651d36902e7_64666651d3673ef3.jpg)
Problem #2: Consider the half-wave rectifier with period 2p. [5 marks] pet [an cos(not) + bn sin(not)] n =1 is given by f (t) = 2 + _ sin(of) - 4 ( cos(2at) + ! cos(4cot) + ...) (a) Find " f(t)[cos(7ct) + sin(7cot)] dt (b) Let the complex Fourier series of f() be given by 18 f (t) = > cneinat 71 =-00 Find co- (c) Find c2. (A) 1 (B) (0) - 25 (D) O (E) Problem #2(2): Select v Part (a) choices. (A) (B) (C) (D) O Problem #2(b): Select v Part (b) choices. (A) (B) (C) (D) - Problem #2(c): Select v Part (c) choices. Save
Step by Step Solution
There are 3 Steps involved in it
Get step-by-step solutions from verified subject matter experts
