Question: Please show your solutions in solving. Please make it brief but readable/visible. I will give you a very good feedback. Thank you! 1. Consider the

Please show your solutions in solving. Please make it brief but readable/visible.
I will give you a very good feedback. Thank you!

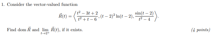
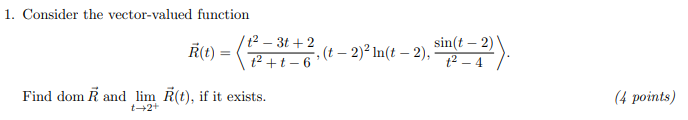
1. Consider the vector-valued function R(t) = 12 - 3t + 2 sin(t - 2) (+t -6: (t- 2)' In(t -2). 12 -4 Find dom R and lim R(t), if it exists. (4 points) t-2+
Step by Step Solution
There are 3 Steps involved in it
Get step-by-step solutions from verified subject matter experts
