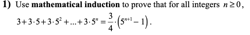
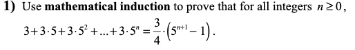
Question: please solve 1) Use mathematical induction to prove that for all integers n 20, 3+3-5+3-5'+ ...+3-5 = - +1 - 1) . A

please solve

1) Use mathematical induction to prove that for all integers n 20, 3+3-5+3-5'+ ...+3-5" = - +1 - 1) . A
Step by Step Solution
There are 3 Steps involved in it
Get step-by-step solutions from verified subject matter experts
