Question: Please Solve Complete W. W. Grainger, Inc., is a leading supplier of maintenance, repair, and operating (MRO) products to businesses and institutions in the United

Please Solve Complete
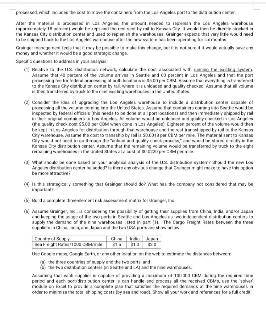
W. W. Grainger, Inc., is a leading supplier of maintenance, repair, and operating (MRO) products to businesses and institutions in the United States, Canada, and Mexico, with an expanding presence in Japan, India, China, and Panama. The company works with more than 5,000 suppliers where Grainger offers nearly 1.5 million products. The products range from industrial adhesives used in manufacturing, to hand tools, janitorial supplies, lighting equipment, and power tools. When something is needed by one of its customers, it is often needed quickly, so quick service and product availability are key drivers to Grainger's success. Grainger works with over 250 suppliers in the China and Taiwan region. These suppliers produce products to Grainger's specifications and ship to the United States using ocean freight carriers from four major ports in China and Taiwan. From these ports, product is shipped to U.S. entry ports in either Seattle, Washington, or Los Angeles, California. After passing through customs, the 20- and 40 -foot containers are shipped by rail to Grainger's central distribution center in Kansas City, Kansas. The containers are unloaded and quality is checked in Kansas City. From there, individual items are sent to regional warehouses in nine U.S. locations, a Canadian site, and Mexico. In the United States, approximately 40% of the containers enter in Seattle, Washington, and 60% at the Los Angeles, California, port. Containers on arrival at the port cities are inspected by federal agents and then loaded onto rail cars for movement to the Kansas City distribution center. Variable costs for processing at the port are $5.00 per cubic meter (CBM) in both Los Angeles and Seattle. The rate for shipping the containers to Kansas City is \$0.0018 per CBM per mile. In Kansas City, the containers are unloaded and processed through a quality assurance check. This costs $3.00 per CMB processed. A very small percentage of the material is actually sent back to the supplier, but errors in quantity and package size are often found that require accounting adjustments. Items are stored in the Kansas City distribution center, which serves nine warehouses in the United States. Items are also sent to warehouses in Canada and Mexico, but for the purposes of this study we focus on the United States. The nine warehouses each place orders at the distribution center that contains all the items to be replenished. Kansas City picks each item on the order, consolidates the items onto pallets, and ships the items on 53 -foot trucks directed to each warehouse. Truck freight costs \$0.0220 per CBM per mile. The demand forecasts for the items purchased from China/Taiwan for next year in cubic meters, as well as the shipping distances, are given in the following table: Although a high percentage of demand was from warehouses either south or east of Kansas City, the question has surfaced concerning the 18 percent that will be shipped to Kansas City and then shipped back to the Los Angeles warehouse. This double-transportation could potentially be eliminated if a new distribution center were built in Los Angeles. The idea might be to ship material arriving at the Seattle port by rail to a new Los Angeles distribution center, which would be located at the current location of the Los Angeles warehouse. It is estimated that the Los Angeles facility could be upgraded at a one-time cost of $1,500,000 and then operated for $350,000 per year. In the new Los Angeles distribution center, containers would be unloaded and processed through a quality assurance check, just as is now done in Kansas City. The variable cost for doing this would be $5.00 per CBM processed, which includes the cost to move the containers from the Los Angeles port to the distribution center. After the material is processed in Los Angeles, the amount needed to replenish the Los Angeles warehouse (approximately 18 percent) would be kept and the rest sent by rail to Kansas City. It would then be directly stocked in the Kansas City distribution center and used to replenish the warehouses. Grainger expects that very little would need to be shipped back to the Los Angeles warehouse after the new system has been operating for six months. Grainger management feels that it may be possible to make this change, but it is not sure if it would actually save any money and whether it would be a good strategic change. Specific questions to address in your analysis: (1) Relative to the U.S. distribution network, calculate the cost associated with running the existing system. Assume that 40 percent of the volume arrives in Seattle and 60 percent in Los Angeles and that the port processing fee for federal processing at both locations is $5.00 per CBM. Assume that everything is transferred to the Kansas City distribution center by rail, where it is unloaded and quality-checked. Assume that all volume is then transferred by truck to the nine existing warehouses in the United States. (2) Consider the idea of upgrading the Los Angeles warehouse to include a distribution center capable of processing all the volume coming into the United States. Assume that containers coming into Seattle would be inspected by federal officials (this needs to be done at all port locations) and then immediately shipped by rail in their original containers to Los Angeles. All volume would be unloaded and quality-checked in Los Angeles (the quality check cost $5.00 per CBM when done in Los Angeles). Eighteen percent of the volume would then be kept in Los Angeles for distribution through that warehouse and the rest transshipped by rail to the Kansas City warehouse. Assume the cost to transship by rail is $0.0018 per CBM per mile. The material sent to Kansas City would not need to go through the "unload and quality check process," and would be stored directly in the Kansas City distribution center. Assume that the remaining volume would be transferred by truck to the eight remaining warehouses in the United States at a cost of $0.0220 per CBM per mile. (3) What should be done based on your analytics analysis of the U.S. distribution system? Should the new Los Angeles distribution center be added? Is there any obvious change that Grainger might make to have this option be more attractive? (4) Is this strategically something that Grainger should do? What has the company not considered that may be important? (5) Build a complete three-element risk assessment matrix for Grainger, Inc. (6) Assume Grainger, Inc., is considering the possibility of getting their supplies from China, India, and/or Japan and keeping the usage of the two ports in Seattle and Los Angeles as two independent distribution centers to supply the demand of the nine warehouses listed in part (1). The Cargo Freight Rates between the three suppliers in China, India, and Japan and the two USA ports are show below. Use Google maps, Google Earth, or any other location on the web to estimate the distances between: (a) the three countries of supply and the two ports, and (b) the two distribution centers (in Seattle and LA) and the nine warehouses. Assuming that each supplier is capable of providing a maximum of 100,000 CBM during the required time period and each port/distribution center is can handle and process all the received CBMs, use the 'solver' module on Excel to provide a complete plan that satisfies the required demands at the nine warehouses in order to minimize the total shipping costs (by sea and road). Show all your work and references for a full credit