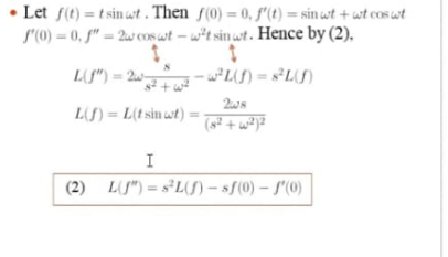
Question: please solve complete with step by step . Let f(t) = tsinut . Then f(0) = 0, f () = sin wt + wt cos
please solve complete with step by step

Step by Step Solution
There are 3 Steps involved in it
1 Expert Approved Answer
Step: 1 Unlock
Question Has Been Solved by an Expert!
Get step-by-step solutions from verified subject matter experts
Step: 2 Unlock
Step: 3 Unlock
