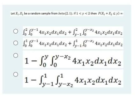
Question: Please solve Let X,, X': be a random sample from bera (2, 1). If 1 be a random sample from I j, I < y
Please solve

Let X,, X': be a random sample from bera (2, 1). If 1
be a random sample from I j, I < y < 2 then X: SO') (D dX2 + 1 Jo 2 rY-X2 O r:ro-l JOYxz 4x1x2dx1dx2 O Y YX2 I-JOJO 4x1x2dx1dxz O I-fl f 4x1x2dx1dx2 y-I yX2
Step by Step Solution
There are 3 Steps involved in it
Get step-by-step solutions from verified subject matter experts
