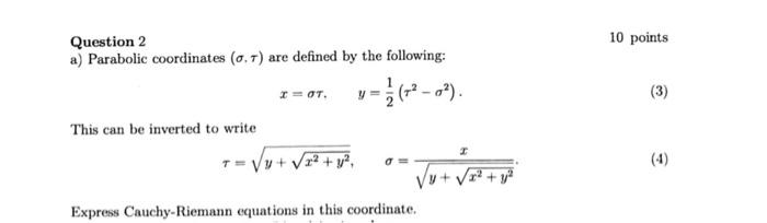
Question: Please solve me this Question 2 10 points a) Parabolic coordinates (,) are defined by the following: x=,y=21(22). This can be inverted to write =y+x2+y2,=y+x2+y2x.

Question 2 10 points a) Parabolic coordinates (,) are defined by the following: x=,y=21(22). This can be inverted to write =y+x2+y2,=y+x2+y2x. Express Cauchy-Riemann equations in this coordinate
Step by Step Solution
There are 3 Steps involved in it
Get step-by-step solutions from verified subject matter experts
