Question: please solve question 3 only on page with all step by step Solve 1. (16xy' exy + y sec'(xy) -2x + 3y) + (16x2 yetxy
please solve question 3 only on page with all step by step

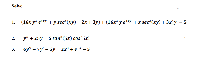
Solve 1. (16xy' exy + y sec'(xy) -2x + 3y) + (16x2 yetxy + x sec'(xy) + 3x)y' = 5 2. y" + 25y = 5 tan (5x) cos (5x) 3. 6y" - 7y' - 5y = 2x3 +e-x -5
Step by Step Solution
There are 3 Steps involved in it
Get step-by-step solutions from verified subject matter experts
