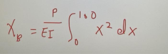
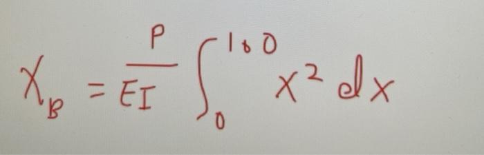
Question: please solve the integral by substituting 100 for upper limit and 0 for lower limit

please solve the integral by substituting 100 for upper limit and 0 for lower limit

Step by Step Solution
There are 3 Steps involved in it
Get step-by-step solutions from verified subject matter experts
