Question: Please solve the problems attached below: (Answers Only) 1. Find the value of sin(105) using sum and difference formulas. Hint: Express the given angle as











Please solve the problems attached below: (Answers Only)




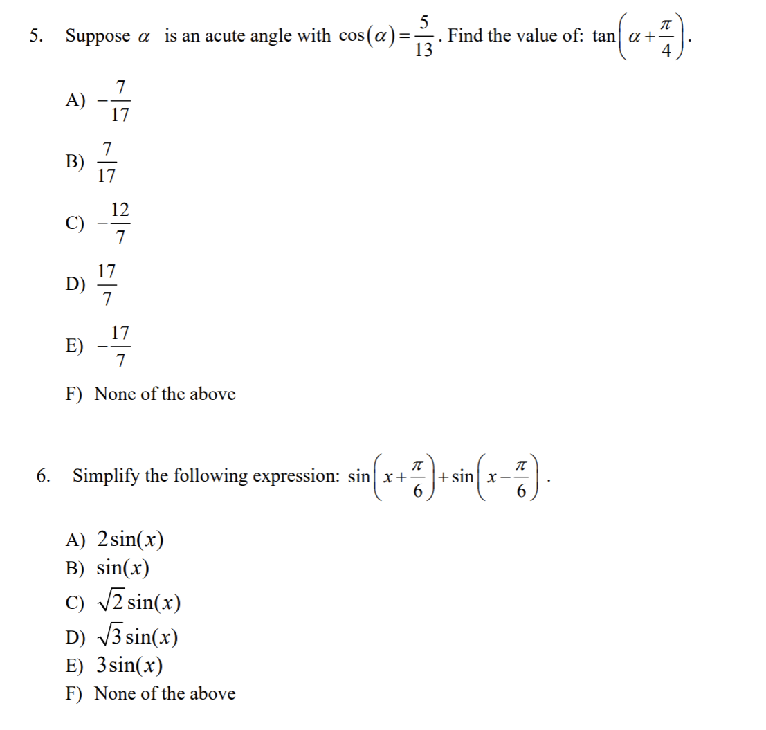
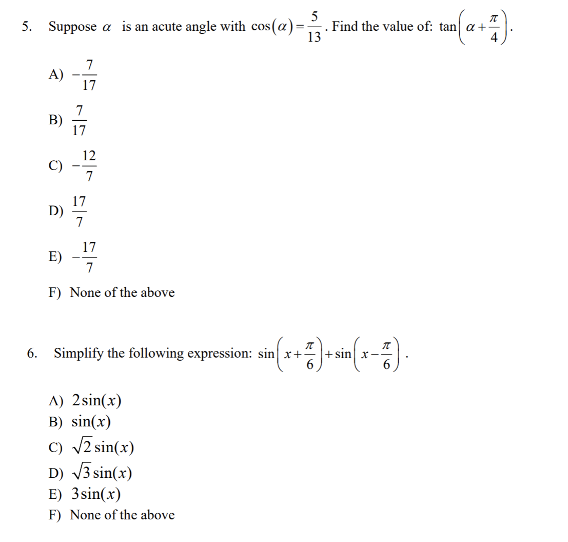
![the value of: tan[a +3] . 7 A __ ) 17 7](https://s3.amazonaws.com/si.experts.images/answers/2024/06/6664ba63c8d4c_3476664ba63aaeec.jpg)

![the above Simplify the following expression: sin [3: + g] + sin](https://s3.amazonaws.com/si.experts.images/answers/2024/06/6664ba646209a_3486664ba644ec59.jpg)




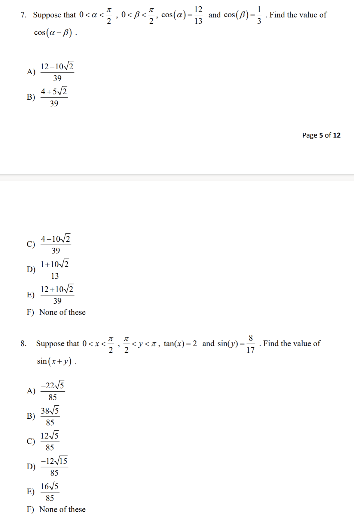
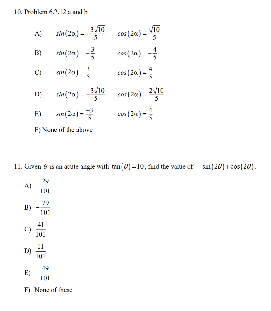
1. Find the value of sin(105) using sum and difference formulas. Hint: Express the given angle as the sum of 2 known angles. A) ego B) are C) @145 D) an E) # F) None of the above 2. Find the value of the expression below without using a calculator: l+tan(50)tan(52) 1tan(202)tan(252) A) 0 B) 1 C) -1 D) -2 E) 2 F) None of the above 3. Find the value of cos 5 TT 12 using sum and difference formulas. Hint: Express 5 TE 12 as the difference of two known angles. A) V2- V6 4 B -V2+ 16 4 C) V2+ 16 4 D) V2 + 16 2 E -V2-V6 4 F) None of the above 4. Suppose O is an acute angle with sin (0) = - . Find the value of: sin | 0- A) 3V/3+4 10 B) 3V/3-4 10 -3V/3+4 10 D) -3V/3-4 10 3V3+4 E) 5 F) None of the above. . 5 . Suppose 0: 1s an acute angle With 003((1'): B . Find the value of: tan[a +3] . 7 A __ ) 17 7 B _ ) 17 17 E __ ) 7 F) None of the above Simplify the following expression: sin [3: + g] + sin [x E) . A) 25in(x) B) sin(x) C) J5 sin(x) D) sin(x) E) 3 sin(x) F) None of the above 7. Suppose that 0
Step by Step Solution
There are 3 Steps involved in it
Get step-by-step solutions from verified subject matter experts
