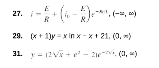
Question: Please take your time to answer these questions carefully! In Problems 25-32, solve the given initial-value problem. Give the largest interval / over which the
Please take your time to answer these questions carefully!


In Problems 25-32, solve the given initial-value problem. Give the largest interval / over which the solution is defined. di L + Ri = E; i(0) = i. L, R, E, and io constants dt dy 29. (x + 1 ) + v = Inx, y(1) = 10 dx p -2V x V dx 31. = 1, y(1) = 1 X dy
Step by Step Solution
There are 3 Steps involved in it
1 Expert Approved Answer
Step: 1 Unlock
Question Has Been Solved by an Expert!
Get step-by-step solutions from verified subject matter experts
Step: 2 Unlock
Step: 3 Unlock
