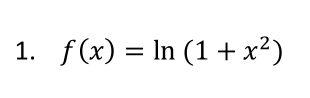
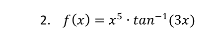
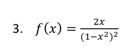
Question: Please teach how to solve 1. f(x) E In (1 + x2)2. f(x = tan -1 (3x2x 3. f (x ) 1-x2)21 m In the
Please teach how to solve




1. f(x) E In (1 + x2)2. f(x = tan -1 (3x2x 3. f (x ) 1-x2)21 m In the following problems 1-3, given that = 2x" , use term-byterm differentiation or integration lx \":0 to find power series for each function centered at zero; then find the interval of convergence
Step by Step Solution
There are 3 Steps involved in it
Get step-by-step solutions from verified subject matter experts
