Question: Please teach how to use integration Part to solve integrals integral(1)
Please teach how to use "integration Part" to solve integrals
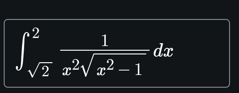
integral(1)



Step by Step Solution
There are 3 Steps involved in it
1 Expert Approved Answer
Step: 1 Unlock
Question Has Been Solved by an Expert!
Get step-by-step solutions from verified subject matter experts
Step: 2 Unlock
Step: 3 Unlock
