Question: Please type the answer by computer, so i can see it clearly, thank you!!!! Citizens of Hong Kong who believe they are at a higher
Please type the answer by computer, so i can see it clearly, thank you!!!!
Citizens of Hong Kong who believe they are at a higher risk of COVID-19 exposure can get a Deep Throat Saliva (DTS) sample collection kit from any of the approved distribution stations and return the sample to one of the designated collection points. The Hospital Authority (HA) has chosen a few basic outpatient clinics to make test kits and sample submission easier for the general population. On Hong Kong Island, there are four designated GOPCs (M1 to M4).

DTS samples are collected daily from each of Hong Kong Island's four GOPCs and sent to a commercial testing laboratory for analysis by light goods vehicles. The following table shows the freight charges, number of specimens to be transported, and GOPC latitude and longitude.
Question:
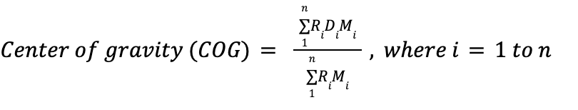
1(a) Use center of gravity method to determine the least-cost location (Latitude and Longitude) of a commercial testing laboratory which serves the four GOPCs. Show the units and steps of calculation. Round the answers to 2 decimal places.

1(b) The Department of Health has accredited several commercial testing laboratories on Hong Kong Island to provide testing services. Explain THREE considerations that the HA should consider when selecting an accredited testing laboratory based on the location solution obtained by the "center of gravity" technique from the perspective of a logistics manager.
GA 1 Java Rd TSAT TSZ MUI M1 SAM KA TSUEN 10 M2 SALWAN King's RO TAIKOO SHING MAWAN VILLAGE 6c QUARRY BAY BA 28 and KENNEDY TOWN MID-LEVELS # LUNG FU SHAN Victoria Peak MOUNT DAVIS doria Queensway Tai Hang Rd SIU MA SHAN Victoria Ry SAI WAN SHAN CHAI WAN GAP CAUSEWAY BAY 128 SA Victoria Harbour 12A 10A CENTRAL 10 C SA BOWRINGTON es WAN CHAI LEIGHTON HILL TAI HANG CHING MAN TSUEN AREA THREE WAN CHAI GAP HAPPY VALLEY JARDINE'S LOOKOUT MOUNT CAMERON THE PEAK LLIJA 0 Aberdeen Country Park , WONG NAI CHUNG GP HIGH WEST POK FU LAM Pok Fu Lam *** Country Park KONG SIN A# WAN TSUEN Wing Ti Re M3 CHAI WAN TA Su Sai | Chai Wan Rd el Tam Red SIU SAI COGO TELEGRAPH BAY TI TAM GP CAPE Shek o Country Park WATERFALL BAY 36 DEEP 13 ABERDEEN WATER BAY Ocean Park BIG WAVE BAY SOUTH HORIZONS y puels! M4 PO CHONG WAN AK KOK TSUI K EN TAI TAM TUK REPULSE BAY LAN NAI WAN TSUEN TUNG AH TSUEN Y + PAK KAP HANG OCEAN PARK RED HILL SHEK ? Google My Maps Tam RS SHEK Map data 2022 Google Terms PENG M1 M2 M3 M4 GOPCs Sai Ying Pun Sai Wan Ho Chai Wan Ap Lei Chau Weekly demand Freight rates Latitude Longitude (Number of specimens) (HK$/tonne-km) 22.29 114.15 2,000 14.50 22.28 114.22 2,500 14.00 22.27 114.23 3,500 14.50 22.24 114.15 5,000 15.00 n RDM. Center of gravity (COG) 1 = n where i = 1 ton RM. 1Step by Step Solution
There are 3 Steps involved in it
Get step-by-step solutions from verified subject matter experts
