Question: PLEASE USE MATLAB You only need to do the plot described in part a: Resonant_Circuit.pdf (see png below) Label the plot, the axes, and display
PLEASE USE MATLAB
You only need to do the plot described in part a: Resonant_Circuit.pdf (see png below)
Label the plot, the axes, and display a coordinate grid.

Do not hard code the data into the program. The program should ask the user to:
(User inputs are in red, make sure to convert the values to standard units in the program, do it on the same line as the input statement)
Enter Inductance in mH: 0.25
Enter Capacitance in nF: 0.1
Enter Resistance in Ohms: 50
Enter Voltage in mV: 10
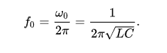
In the program, compute the resonant frequency f0 from the formula below, then plot a frequency range from 0.2 f0 to 2 f0.

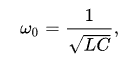
where L is the inductance in henries and C is the capacitance in farads The angular frequency. 0 has units of radians. per second.
The equivalent frequency in units of hertz is

A correct plot should look like the figure below (x axis is in Mhz)

PLEASE HELP I DONT KNOW WHAT IM DOING BECAUSE I HAVE A TERRIBLE TEACHER
I8 Radio Receiver The average (rms) voltage across the resistive load in Figure 2.18 varies as a function of frequency according to Equation (2-18). VR=R2+(LC1)2RV0 where =2f and f is the frequency in hertz. Assume that L=0.25mH, C=0.10nF,R=50, and V0=10mV. (a) Plot the rms voltage on the resistive load as a function of frequency. At what frequency does the voltage on the resitive load peak? What is the voltage on the load at this frequency? This frequency is called the resonant frequency f0 of the circuit. 0=LC1 f0=20=2LC1 Frequency Response
Step by Step Solution
There are 3 Steps involved in it
Get step-by-step solutions from verified subject matter experts
