Question: please use the multiple server model formulas. Customers arrive at a hotel at 17.5 per hour (Poisson distributed). The hotel currently employs three clerks at
please use the multiple server model formulas.
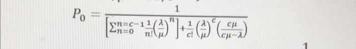
Customers arrive at a hotel at 17.5 per hour (Poisson distributed). The hotel currently employs three clerks at the reception desk to check in or check out guests. The average time for a clerk to check in a guest is 8.5 minutes (exponentially distributed). The hotel pays $10 per clerk per hour and assigns goodwill costs of $4 per minute for the time a guest must wait in line. Determine whether the present check in system is cost-effective. If not, add or reduce the number of clerks and recommend an optimum number of clerks that lead to the minimum total cost. Calculate the total cost for the current system, your proposed system, and cost savings. Use multiple server model formulas. Assuming other models will not earn you any marks P0=[n=0n=c1n!1()n]+c!1()c(cc)1 Lq=(c1)!(c)2()P0+= Lq=L=0.7568 gues Wq=Lq=0.0189 hour (=


Step by Step Solution
There are 3 Steps involved in it
1 Expert Approved Answer
Step: 1 Unlock
Question Has Been Solved by an Expert!
Get step-by-step solutions from verified subject matter experts
Step: 2 Unlock
Step: 3 Unlock
