Question: Please work out the following Calculus problems, showing workings 5. Select the answer that is equal to / ex/?f(x) dx. Show workings. A. 20*/2 f(x)
Please work out the following Calculus problems, showing workings



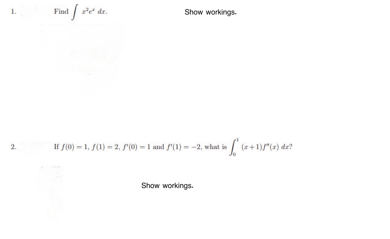
5. Select the answer that is equal to / ex/?f(x) dx. Show workings. A. 20*/2 f(x) + 2 / ex/?f'(x) dx B. er/2 f(x) - [ ex/2f'(x) dx C. 2ex/2 f(x) - 2 / ex/2f'(x) dx D. er/2 f(x) - 2 ( ex/2f'(x) dx E. Self(x) - 5 ( ex/2f(x) dxFind / m'e' d1. Show workings. If f(0) = 1, f(1) = 2, me) = 1 and m1) = 2, what is [0 (1+ 1);\"(:) dz? Show workings. W Let a, b be real numbers and consider the integral / (ax+ Show workings. b) cos(x) dx. Using integration by parts will lead to which of the following expressions? . A. (ax + b) cos(x) + 2a / xsin(x) dx . B. 2arcos(x) +2 /(ax +b) sin(x) dx . C. (ax + b) sin(x) - 2a / xsin(x) dx . D. (ax2 + b) cos(x) - 2a / xcos(x) dx . E. 2axsin(x) -2 (ax +b) sin(x) dx 4, Show workings. Find w2 In(w)dw. A. w3 In(w) + C B. In(w) 4 - w+ C C. w + C D. In(w) 2 - w +C E. In(w) , - w + C
Step by Step Solution
There are 3 Steps involved in it
Get step-by-step solutions from verified subject matter experts
