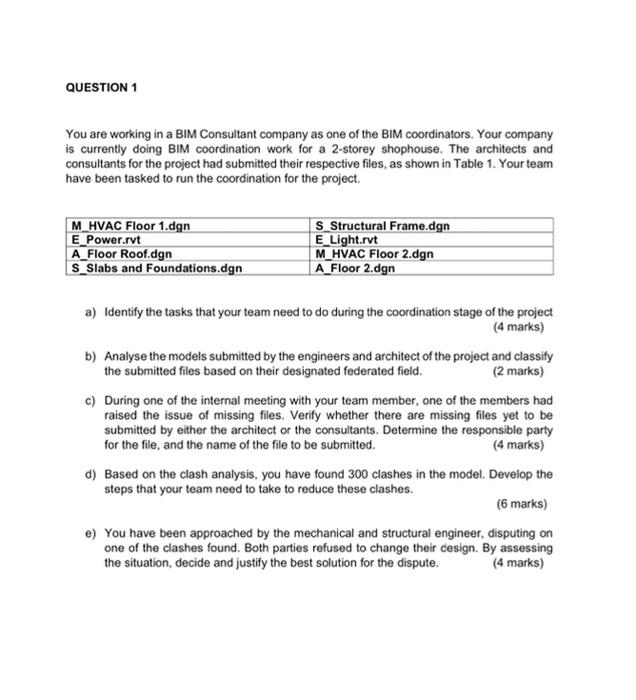
Question: Pleasesolve it QUESTION 1 You are working in a BIM Consultant company as one of the BIM coordinators. Your company is currently doing BIM coordination
Pleasesolve it
Step by Step Solution
There are 3 Steps involved in it
1 Expert Approved Answer
Step: 1 Unlock
Question Has Been Solved by an Expert!
Get step-by-step solutions from verified subject matter experts
Step: 2 Unlock
Step: 3 Unlock
