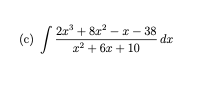
Question: plz solve this, thanks f2. (5 points each) Evaluate the following integrals by the method of partial fractions. Show your work, including the work to
plz solve this, thanks




\f2. (5 points each) Evaluate the following integrals by the method of partial fractions. Show your work, including the work to find the coefficients in the partial fraction decomposition. (a)/ 3r + 16x - 3 r +3-1-3 dr\f\f
Step by Step Solution
There are 3 Steps involved in it
1 Expert Approved Answer
Step: 1 Unlock
Question Has Been Solved by an Expert!
Get step-by-step solutions from verified subject matter experts
Step: 2 Unlock
Step: 3 Unlock
