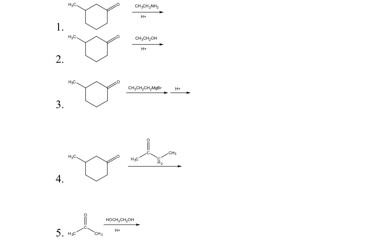
Question: Predict product for the reactions below ( preferrably use a paper to write it down and take a picture of structure and work ) and
Predict product for the reactions below preferrably use a paper to write it down and take a picture of structure and work and show mechanism for number Thank you please make sure to show work and actually show the structures as i am using this for a study material.
Step by Step Solution
There are 3 Steps involved in it
1 Expert Approved Answer
Step: 1 Unlock
Question Has Been Solved by an Expert!
Get step-by-step solutions from verified subject matter experts
Step: 2 Unlock
Step: 3 Unlock
