Question: Probability theory - central limit theorem, uniform convergence, Glivenko-Cantelli theorem Hello would you please answer this question? Thank you. (Glivenko-Cantelli Theorem) Let X1, X2, .
Probability theory - central limit theorem, uniform convergence, Glivenko-Cantelli theorem
Hello would you please answer this question?
Thank you.



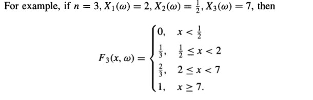
(Glivenko-Cantelli Theorem) Let X1, X2, . .. be independent, identically distributed random variables with common distribution function F. Let Fn (x, w), x ER, WE S, be the empirical distribution function of the Xi, based on n trials, that is, Fn (x, w) = the number of terms among X1 (w), .... X,(w) n that are
Step by Step Solution
There are 3 Steps involved in it
Get step-by-step solutions from verified subject matter experts
