Question: Problem 1 ( 2 9 points ) : Streaming of YouTube videos became increasing popular as the costs of cable and satellite television have surged
Problem points:
Streaming of YouTube videos became increasing popular as the costs of cable and satellite television
have surged over the last years. For instance, during the coronavirus pandemic, a YouTube series
about home workouts gained immense popularity as pandemic restrictions required people to stay at home
and social distance as fitness facilities around Canada closed their doors. It is estimated that this YouTube
series was watched by over million people within the first days of its release. However, as
viewers explored various content during the stayathome restrictions, the competition amongst YouTube
content creators became more intense, with many seeking the next viral idea.
You are the content manager at Cloudy Day Studios in Toronto and are responsible for reviewing
YouTube pitches and deciding what content ideas the studio should invest in and produce. You recently
have received three proposals for a new YouTube series, each distinct in their genre: a DIY home
improvement series, a 'van life' vlog series, and a cooking show. The potential ad revenue for each series
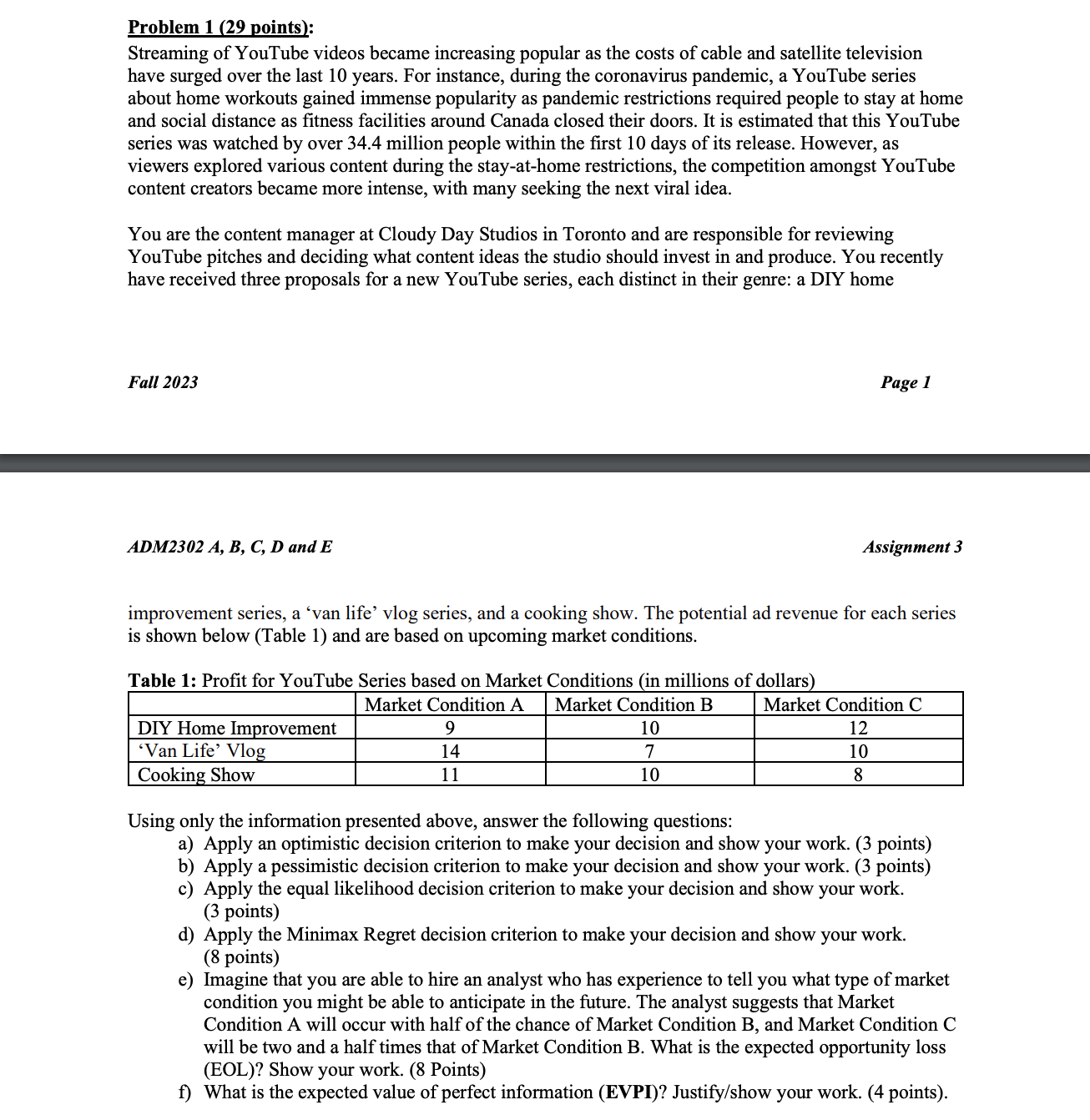
is shown below Table and are based on upcoming market conditions.
Table : Profit for YouTube Series based on Market Conditions in millions of dollars
Using only the information presented above, answer the following questions:
a Apply an optimistic decision criterion to make your decision and show your work. points
b Apply a pessimistic decision criterion to make your decision and show your work. points
c Apply the equal likelihood decision criterion to make your decision and show your work.
points
d Apply the Minimax Regret decision criterion to make your decision and show your work.
points
e Imagine that you are able to hire an analyst who has experience to tell you what type of market
condition you might be able to anticipate in the future. The analyst suggests that Market
Condition A will occur with half of the chance of Market Condition B and Market Condition C
will be two and a half times that of Market Condition B What is the expected opportunity loss
EOL Show your work. Points
f What is the expected value of perfect information EVPI Justifyshow your work. points
Step by Step Solution
There are 3 Steps involved in it
1 Expert Approved Answer
Step: 1 Unlock
Question Has Been Solved by an Expert!
Get step-by-step solutions from verified subject matter experts
Step: 2 Unlock
Step: 3 Unlock
