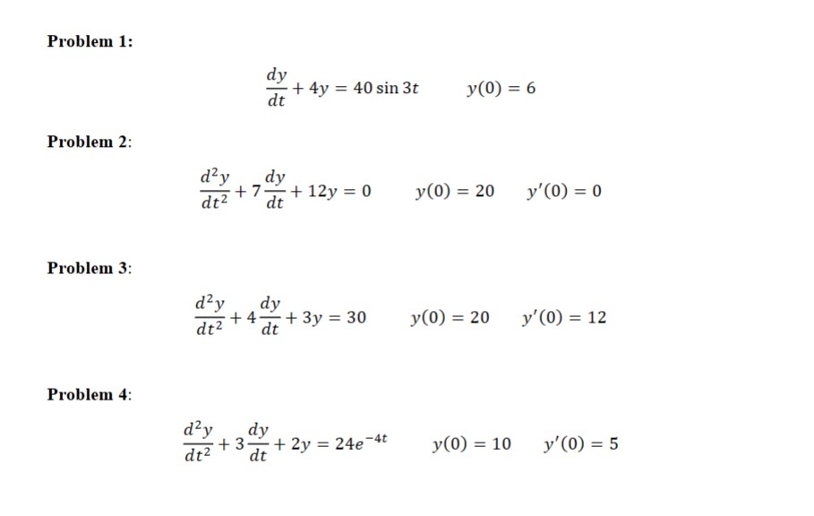
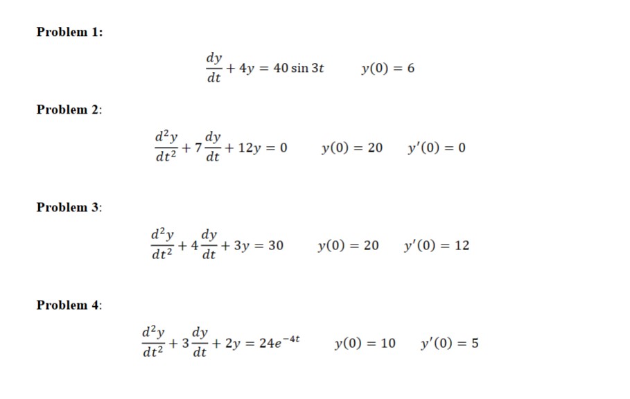
Question: Problem 1: dy + 4y = 40 sin 3t dt y(0) = 6 Problem 2: day dy d+2 + 7. dt - + 12y =


Problem 1: dy + 4y = 40 sin 3t dt y(0) = 6 Problem 2: day dy d+2 + 7. dt - + 12y = 0 y(0) = 20 y'(0) = 0 Problem 3: dy d+2 +4. dr + 3y = 30 y(0) = 20 y'(0) = 12 Problem 4: dy d+2 + 3 + 2y = 24e-4t dt y(0) = 10 y'(0) = 5
Step by Step Solution
There are 3 Steps involved in it
Get step-by-step solutions from verified subject matter experts
