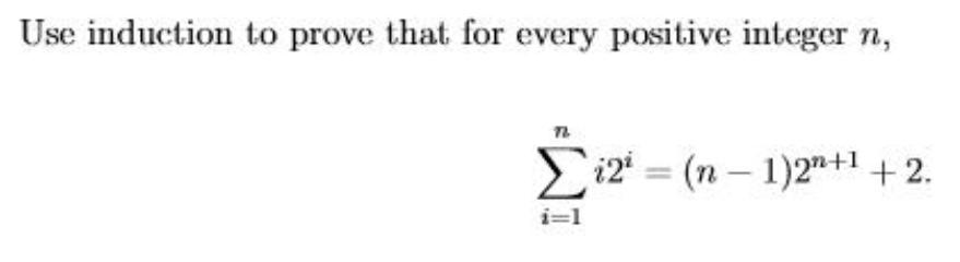
Question: Use induction to prove that for every positive integer n, i2' = (n 1)2+1 +2. i=1
Use induction to prove that for every positive integer n, i2' = (n 1)2"+1 +2. i=1
Step by Step Solution
3.35 Rating (158 Votes )
There are 3 Steps involved in it
To prove the statement by induction we follow these steps Step 1 Base Case First we need to verify t... View full answer
Get step-by-step solutions from verified subject matter experts
