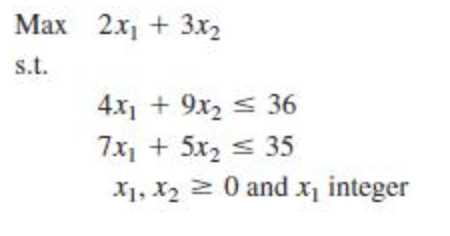
Question: Problem 11-5 Consider the following all-integer linear program: Find the optimal solution for the mixed-integer linear program. If required, round your answers to two decimal
Problem 11-5
Consider the following all-integer linear program:

Find the optimal solution for the mixed-integer linear program. If required, round your answers to two decimal places. Soltion details x1 = _____, x2 = _____. Its value is _____.
Max 2x1 + 3x2 s.t. 4x7 + 9x2 = 36 7x + 5x2Step by Step Solution
There are 3 Steps involved in it
Get step-by-step solutions from verified subject matter experts
