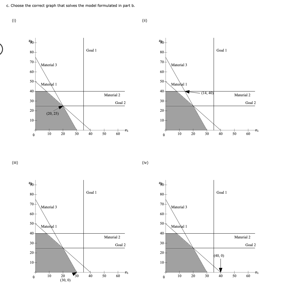
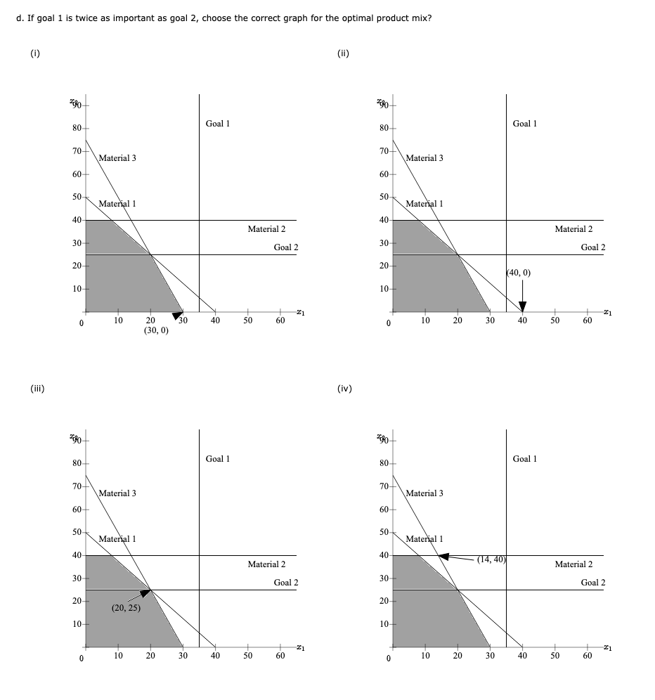
Question: Problem 14-01 (Algorithmic) The RMC Corporation blends three raw materials to produce two products: a fuel additive and a solvent base. Each ton of fuel



Step by Step Solution
There are 3 Steps involved in it
1 Expert Approved Answer
Step: 1 Unlock
Question Has Been Solved by an Expert!
Get step-by-step solutions from verified subject matter experts
Step: 2 Unlock
Step: 3 Unlock
