Question: Problem 14-01 (Algorithmic) The RMC Corporation blends three raw materials to produce two products: a fuel additive and a solvent base. Each ton of fuel






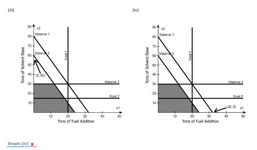
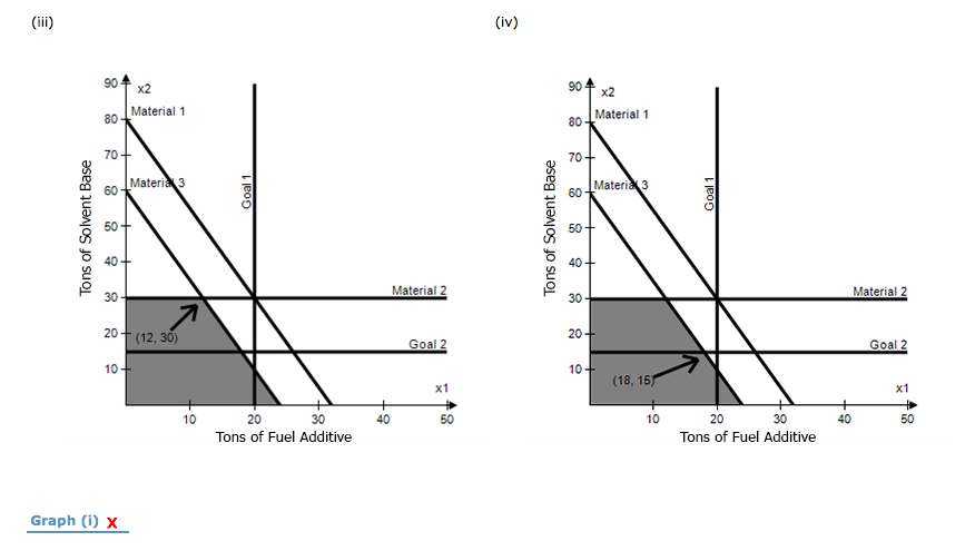
Problem 14-01 (Algorithmic) The RMC Corporation blends three raw materials to produce two products: a fuel additive and a solvent base. Each ton of fuel additive is a mixture of 1/2 ton of material 1 and 1/2 ton of material 3. A ton of solvent base is a mixture of 1/5 ton of material 1, 3/5 ton of material 2, and 1/5 ton of material 3. RMC's production is constrained by a limited availability of the three raw materials. For the current production period RMC has the following quantities of each raw material: material 1, 16 tons; material 2, 18 tons; material 3, 12 tons. Management wants to achieve the following P1 priority level goals: Goal 1: Produce at least 20 tons of fuel additive. Goal 2: Produce at least 15 tons of solvent base. Assume there are no other goals. a. Is it possible for management to achieve both P1 level goals given the constraints on the amounts of each material available? Amount needed to Raw Material Achieve Both P1 Goals Problem 14-01 (Algorithmic) The RMC Corporation blends three raw materials to produce two products: a fuel additive and a solvent base. Each ton of fuel additive is a mixture of 1/2 ton of material 1 and 1/2 ton of material 3. A ton of solvent base is a mixture of 1/5 ton of material 1, 3/5 ton of material 2, and 1/5 ton of material 3. RMC's production is constrained by a limited availability of the three raw materials. For the current production period RMC has the following quantities of each raw material: material 1, 16 tons; material 2, 18 tons; material 3, 12 tons. Management wants to achieve the following P1 priority level goals: Goal 1: Produce at least 20 tons of fuel additive. Goal 2: Produce at least 15 tons of solvent base. Assume there are no other goals. a. Is it possible for management to achieve both P1 level goals given the constraints on the amounts of each material available? Amount needed to Raw Material Achieve Both P1 Goals
Step by Step Solution
There are 3 Steps involved in it
Get step-by-step solutions from verified subject matter experts
