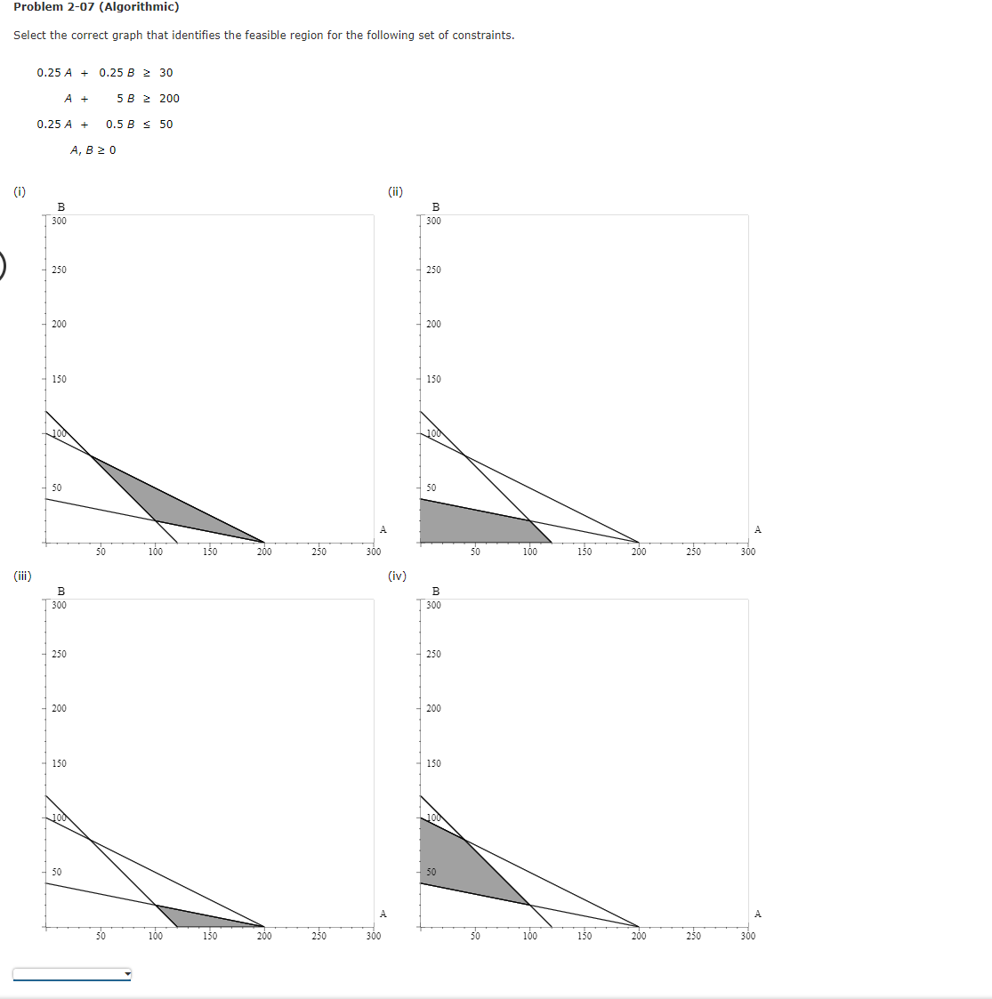
Question: Problem 2-07 (Algorithmic) Select the correct graph that identifies the feasible region for the following set of constraints. 0.25 A + 0.25 B 2 30














Problem 2-07 (Algorithmic) Select the correct graph that identifies the feasible region for the following set of constraints. 0.25 A + 0.25 B 2 30 5 8 2 200 0.25 A + 0.5 B $ 50 A, B 20 B B 300 T300 - 250 250 200 200 150 150 50 50 A 150 200 250 200 50 100 150 200 250 300 50 100 B T 300 250 - 250 - 200 - 200 150 150 50 5 300 50 100 150 200 250 300 50 100 150 250Problem 2-31 (Algorithmic) Consider the following linear program: Min 24 + 48 s.t. A + 38 26 A+B 24 A, B20 a. Select the correct graph that shows the feasible region and the optimal solution for the problem. (i) 10- B (ii) 107 B 9-7 8- Optimal Solution: A=3, B=1 A Optimal Solution: A-6, B-0 4 2 10 (iii)10 B (in10 B 9-1 6-1 Optimal Solution: A=0, B=4 Optimal Solution: A=3, B=1 4 10 b. What is the value of the objective function? If required, round your answer to one decimal place. Objective function value:Problem 4-11 (Algorithmic) Edwards Manufacturing Company purchases two component parts from three different suppliers. The suppliers have limited capacity, and no one supplier can meet all the company's needs. In addition, the suppliers charge different prices for the components. Component price data (in price per unit) are as follows: Supplier Component 1 2 3 1 $13 $14 $15 $11 $12 $11 Each supplier has a limited capacity in terms of the total number of components it can supply. However, as long as Edwards provides sufficient advance orders, each supplier can devote its capacity to component 1, component 2, or any combination of the two components, if the total number of units ordered is within its capacity. Supplier capacities are as follows: Supplier 1 2 3 Capacity 1200 1000 If the Edwards production plan for the next period includes 1200 units of component 1 and 1000 units of component 2, what purchases do you recommend? That is, how many units of each component should be ordered from each supplier? Round your answers to the nearest whole number. If your answer is zero, enter "0". Supplier 1 2 3 Component 1 Component 2 What is the total purchase cost for the components? Round your answer to the nearest dollar, $Problem 6-01 (Algorithmic) A company imports goods at two ports: Philadelphia and New Orleans. Shipments of one product are made to customers in Atlanta, Dallas, Columbus, and Boston. For the next planning period, the supplies at each port, customer demands, and shipping costs per case from each port to each customer are as follows: Customers Port Atlanta Dallas Columbus Boston Port Supply Philadelphia 2 3 4000 New Orleans 7 1 3000 Demand 1400 2200 2000 1400 Choose the correct network representation of the distribution system (transportation problem). (i) (ii) Atlanta Atlanta 1400 Phil 3000 3000 Phila 2000 w Dallas Dallas 2200 1400 2 1400 Columbus Columbus 2 2000 New 4000 New 5 2200 Orleans 4000 Orleans 1400 Boston Boston (iii) (iv) Atlanta Atlanta 1400 Phila 4000 4000 Phila. 2200 w Dallas Dallas 6 2000 1400 5 7 1400 Columbus Columbus 5 2200 New 3000 New 2 2000 Orleans 3000 Orleans 1400 Boston Boston 3Problem 6-33 For the following highway network system, determine the maximal flow in vehicles per hour: Vehicle flow capacity: 5000 2 vehicles per hour 5 . A 2 3 6 2 2 Maximal flow vehicles per hour. The highway commission is considering adding highway section 3-4 to permit a flow of 2,000 vehicles per hour or, at an additional cost, a flow of 3,000 vehicles per hour. What is your recommendation for the 3-4 arc of the network? Recommended capacity vehicles per hour.Problem 9-04 The activity times (in months) for the following project network: Activity ABCDEFG Time 4 6 2 6 3 3 5 D Start C E Finish B F a. Find the critical path. b. The project must be completed in 1 /2 years. Do you anticipate difficulty in meeting the deadline? Explain. The critical path activities require months to complete. Thus the project should be completed in years.Problem 9-11 (Algorithmic) Building a backyard swimming pool consists of nine major activities. The activities and their immediate predecessors are shown. Choose the correct project network. Activity A B C D E F G H I Immediate Predecessor A, B B B, D C D FG E, G, H A (ii) F A C Fi H Start I Finish Start Finish D G B D E E (iii) [iv) A C F A F H H Start Finish Start I Finish B D G B D G E F
Step by Step Solution
There are 3 Steps involved in it
Get step-by-step solutions from verified subject matter experts
