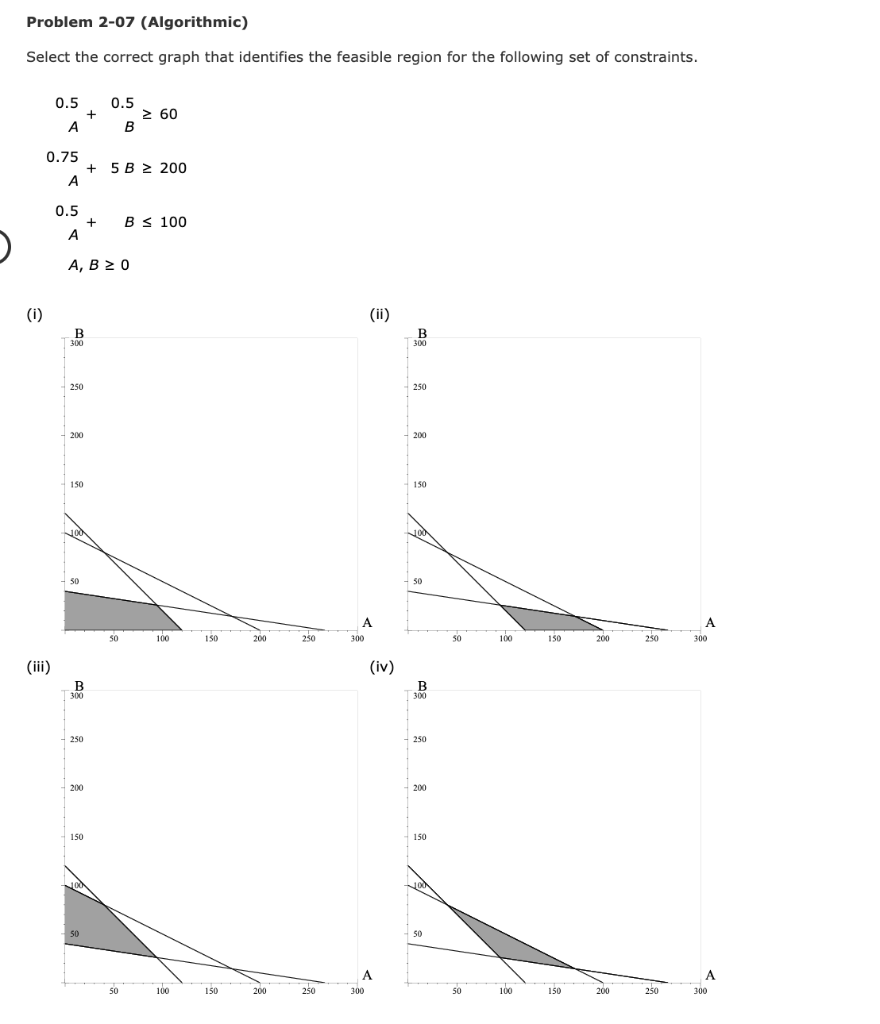
Question: Please explain why the graph was chosen. Thanks. Problem 2-07 (Algorithmic) Select the correct graph that identifies the feasible region for the following set of
Please explain why the graph was chosen. Thanks. 
Step by Step Solution
There are 3 Steps involved in it
1 Expert Approved Answer
Step: 1 Unlock
Question Has Been Solved by an Expert!
Get step-by-step solutions from verified subject matter experts
Step: 2 Unlock
Step: 3 Unlock
