Question: Problem 3 . 8 Consider replacing the ReLU activation function with ( i ) the Heaviside step function heaviside z , ( ii ) the
Problem Consider replacing the ReLU activation function with i the Heaviside step function heaviside ii the hyperbolic tangent function and iii the rectangular function rect where:
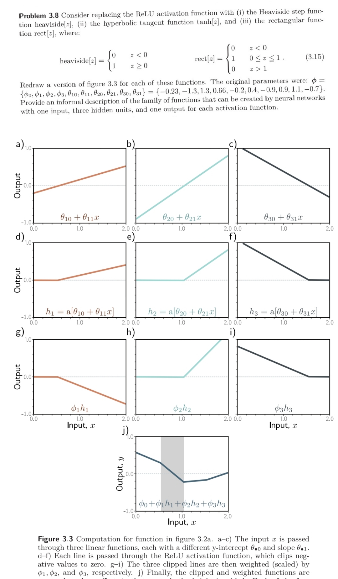
Redraw a version of figure for each of these functions. The original parameters were: Provide an informal description of the family of functions that can be created by neural networks with one input, three hidden units, and one output for each activation function.
d
g
b
e
h
i
i
c
f
Figure Computation for function in figure a ac The input is passed through three linear functions, each with a different y intercept and slope df Each line is passed through the ReLU activation function, which clips negative values to zero. gi The three clipped lines are then weighted scaled by and respectively. j Finally, the clipped and weighted functions are
Step by Step Solution
There are 3 Steps involved in it
1 Expert Approved Answer
Step: 1 Unlock
Question Has Been Solved by an Expert!
Get step-by-step solutions from verified subject matter experts
Step: 2 Unlock
Step: 3 Unlock
