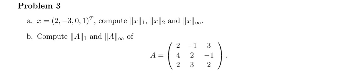
Question: Problem 3 a. x = (2, -3, 0, 1), compute Ixll1, Ixl/2 and Ixlloo. b. Compute || All1 and || All of 2 -1 3

Step by Step Solution
There are 3 Steps involved in it
1 Expert Approved Answer
Step: 1 Unlock
Question Has Been Solved by an Expert!
Get step-by-step solutions from verified subject matter experts
Step: 2 Unlock
Step: 3 Unlock
