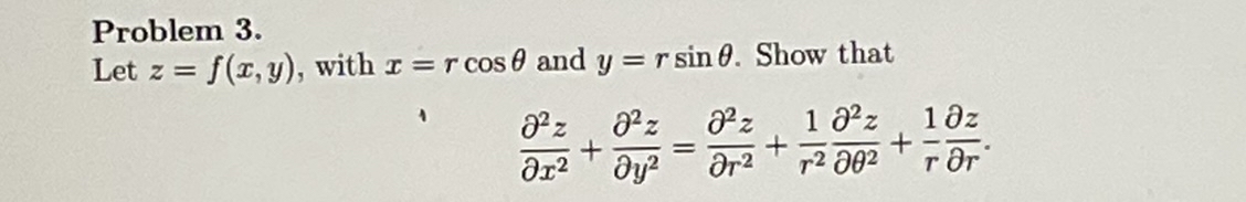
Question: Problem 3 . Let z = f ( x , y ) , with x = r c o s and y = r s
Problem
Let with and Show that
Step by Step Solution
There are 3 Steps involved in it
1 Expert Approved Answer
Step: 1 Unlock
Question Has Been Solved by an Expert!
Get step-by-step solutions from verified subject matter experts
Step: 2 Unlock
Step: 3 Unlock
