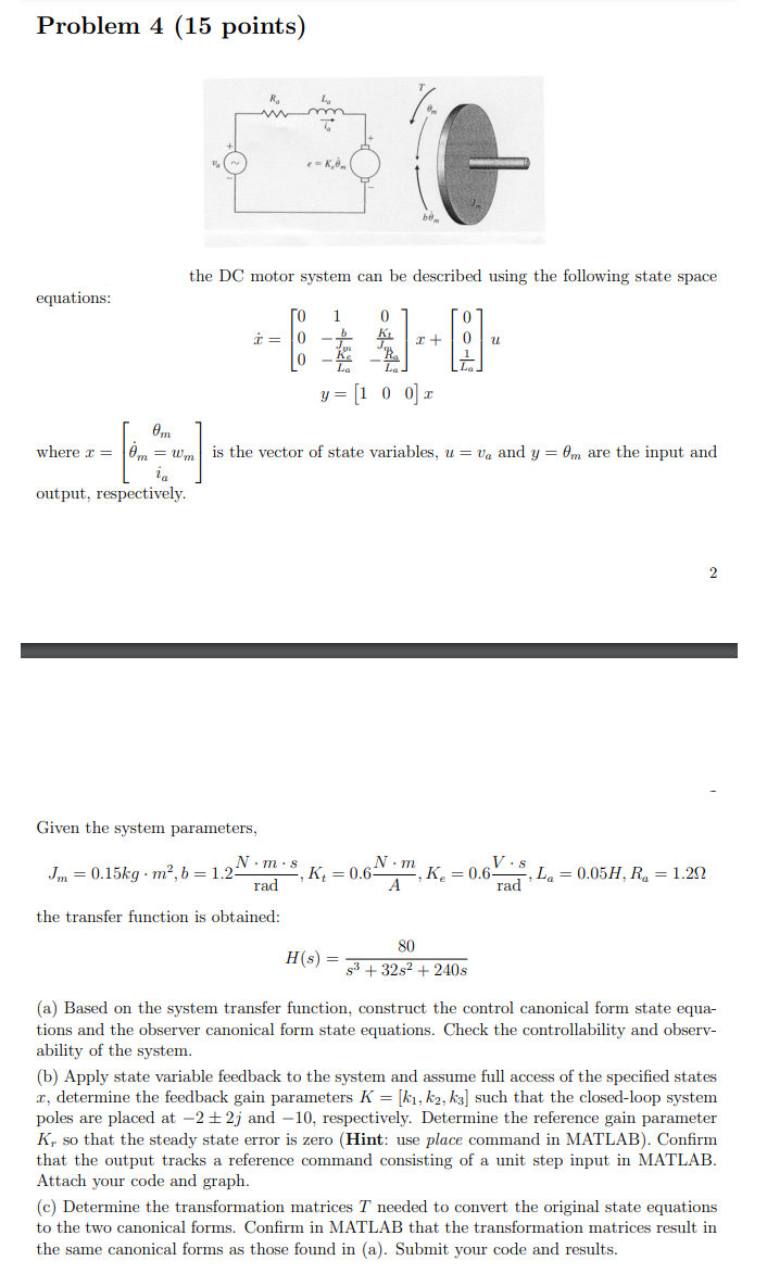
Question: Problem 4 (15 points) equations: e-Kom the DC motor system can be described using the following state space 1 0 x = 0 K

Problem 4 (15 points) equations: e-Kom the DC motor system can be described using the following state space 1 0 x = 0 K x+ 0 La where m x= 'm Om = Wm ia output, respectively. == [100] x is the vector of state variables, u = va and y = 0m are the input and Given the system parameters, Jm=0.15kg m2, b = 1.2 N-m-s rad N. A K =0.6- 6 Nm, K = 0.6 V s La = 0.05H, R = 1.20 rad the transfer function is obtained: H(s) = 80 s3+32s2+240s (a) Based on the system transfer function, construct the control canonical form state equa- tions and the observer canonical form state equations. Check the controllability and observ- ability of the system. (b) Apply state variable feedback to the system and assume full access of the specified states x, determine the feedback gain parameters K = [k, k2, k3] such that the closed-loop system poles are placed at -22j and -10, respectively. Determine the reference gain parameter K, so that the steady state error is zero (Hint: use place command in MATLAB). Confirm that the output tracks a reference command consisting of a unit step input in MATLAB. Attach your code and graph. (c) Determine the transformation matrices T needed to convert the original state equations to the two canonical forms. Confirm in MATLAB that the transformation matrices result in the same canonical forms as those found in (a). Submit your code and results.
Step by Step Solution
There are 3 Steps involved in it
Get step-by-step solutions from verified subject matter experts
